Salvia candelabrum
Scientific classification Edit this classification
Kingdom: Plantae
Clade: Tracheophytes
Clade: Angiosperms
Clade: Eudicots
Clade: Asterids
Order: Lamiales
Family: Lamiaceae
Genus: Salvia
Species:
S. candelabrum
Binomial name
Salvia candelabrum
Synonyms[2]

Salvia candelabriformis St.-Lag.

Salvia candelabrum is a species of flowering plant in the family Lamiaceae,[2] native to Spain. It is a woody-based perennial growing to 100 cm (39 in), with woolly grey-green leaves that resemble those of the common sage, S. officinalis, and emit a similar scent when crushed. In summer it bears violet-blue flowers on branching stems held high above the foliage.[3][4]

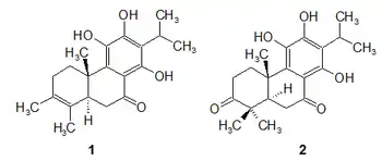
Diterpenes have been isolated from its green tissues.[5] From the aerial parts of Salvia candelabrum have been isolated β-sitosterol, nepeticin (lup-20(29)-ene-3j,lla-diol), candelabrone (11,12,14-trihydroxy-8,11,13-abietatriene-3,7-dione), the rearranged abietane diterpenoids candesalvone A (11,12,14-trihydroxy-19(4→3)-abeo-3,8,11,13-abietatetraen-7-one) and candesalvone B (11,12,14-trihydroxy-7-oxo-3,4-seco-4(18),8,11,13-abietatetraen-3-oic acid), and large amounts of ursolic and oleanolic acids. The root bark afforded 7α-acetoxyroyleanone, 12-O-methypisiferic acid and sugol.[6]

Candesalvone A (1) and candelabrone (2)

This plant has ornamental value in the garden, and has gained the Royal Horticultural Society's Award of Garden Merit.[7][8]

Etymology

Salvia comes from Latin and means 'healer'[9] and is a cognate of the word 'salve'.

Candelabrum means 'candle-tree' or 'branched like a candelabra'.[9]

References

  1. Buira, A.; García Murillo, P. (2017). "Salvia candelabrum". IUCN Red List of Threatened Species. 2017: e.T103535435A103535439. doi:10.2305/IUCN.UK.2017-3.RLTS.T103535435A103535439.en. Retrieved 20 November 2021.
  2. 1 2 "Salvia candelabrum Boiss". Plants of the World Online. The Trustees of the Royal Botanic Gardens, Kew. n.d. Retrieved September 5, 2020.
  3. Bourne, Val. "Salvia candelabrum: How to grow". The Telegraph. Retrieved 3 July 2013.
  4. "Salvia candelabrum". Germplasm Resources Information Network. Agricultural Research Service, United States Department of Agriculture. Retrieved 21 January 2018.
  5. Janicsak, G., et al. (2003). Diterpenes from the aerial parts of Salvia candelabrum and their protective effects against lipid peroxidation. Planta medica. 69:12 p. 1156-1159
  6. Mendes, et al. "DITERPENOIDS FROM Salvia candelabrum". Phytochemistry, Vol 28, No 6, pp 1685-1690, 1989
  7. "RHS Plant Selector - Salvia candelabrum". Retrieved 5 March 2021.
  8. "AGM Plants - Ornamental" (PDF). Royal Horticultural Society. July 2017. p. 95. Retrieved 14 October 2018.
  9. 1 2 Gledhill, David (2008). "The Names of Plants". Cambridge University Press. ISBN 9780521866453 (hardback), ISBN 9780521685535 (paperback). pp 88, 339


This article is issued from Wikipedia. The text is licensed under Creative Commons - Attribution - Sharealike. Additional terms may apply for the media files.