Butalamine
Clinical data
ATC code
Identifiers
  • N,N-Dibutyl-N'-(3-phenyl-1,2,4-oxadiazol-5-yl)ethane-1,2-diamine
CAS Number
PubChem CID
ChemSpider
UNII
ChEMBL
CompTox Dashboard (EPA)
ECHA InfoCard100.040.708
Chemical and physical data
FormulaC18H28N4O
Molar mass316.449 g·mol−1
3D model (JSmol)
  • n1c(onc1c2ccccc2)NCCN(CCCC)CCCC

Butalamine is a vasodilator.[1]

Synthesis

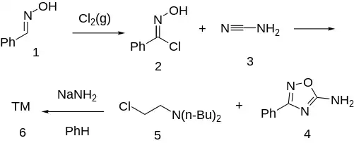
Check with imolamine (alternate nitrogen reacts)

Patents:[2][3][4]

USA Ex 9: The halogenation of benzamidoxime [932-90-1] [622-31-1] (1) with chlorine and subsequent reaction with cyanamide (3) gives 5-amino-3-phenyl-1,2,4-oxadiazole [3663-37-4] (4). Base catalyzed alkylation with dibutylaminoethyl chloride [13422-90-7] (5) completes the synthesis of butalamine (6).

References

  1. Sterne J (April 1976). "[Butalamine hydrochloride. A new vasoactive substance]". Fortschritte Der Medizin (in German). 94 (11): 657–9. PMID 823083.
  2. Aron-samuel Jan Marcel Didier, FR3334M (1965 to Jan Marcel).
  3. Japan. Pat., 76 108 068, (1976); CA, 87, 5981b
  4. Aron-Samuel Jan Marcel Didier, Sterne Jean Jacques, U.S. Patent 3,338,899 (1967 to).


This article is issued from Wikipedia. The text is licensed under Creative Commons - Attribution - Sharealike. Additional terms may apply for the media files.