Reaction of cyclohexylamine with acetaldehyde forming an imine. Sodium sulfate removes water [1]

In organic chemistry, alkylimino-de-oxo-bisubstitution is the organic reaction of carbonyl compounds with amines to imines.[2] The reaction name is based on the IUPAC Nomenclature for Transformations. The reaction is acid catalyzed and the reaction type is nucleophilic addition of the amine to the carbonyl compound followed by transfer of a proton from nitrogen to oxygen to a stable hemiaminal or carbinolamine. With primary amines water is lost in an elimination reaction to an imine. With aryl amines especially stable Schiff bases are formed.

Reaction mechanism

The reaction steps are reversible reactions and the reaction is driven to completion by removal of water e.g. by azeotropic distillation, molecular sieves or titanium tetrachloride. Primary amines react through an unstable hemiaminal intermediate which then splits off water.

Alkylimino-de-oxo-bisubstitution

Secondary amines do not lose water easily because they do not have a proton available and instead they often react further to an aminal:

Reaction of secondary amine with a carbonyl group

or when an α-carbonyl proton is present to an enamine:

enamine formation by reaction of amine with carbonyl

In acidic environment the reaction product is an iminium salt by loss of water.

This reaction type is found in many Heterocycle preparations for example the Povarov reaction and the Friedländer-synthesis to quinolines.

Compounds containing both a primary or secondary amine and carbonyl functional group are often labile. This guideline applies to amino aldehydes, amino-ketones, and amino-esters. Aminoacetone, the simplest amino ketone, cannot be isolated as a liquid or solid.[3] 2-Aminobenzaldehyde is another example, although it is less labile than aminoacetone because its amine is less nucleophilic. It oligomerizes in solution or in the melt.[4]

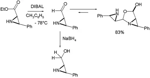
Because both components are so reactive a molecule does not carry an aldehyde and an amine group at the same time unless the amine group is fitted with a protective group. As a further demonstration of reactivity one study[5] explored the properties of an α-formyl aziridine which was found to dimerize as an oxazolidine on formation from the corresponding ester by organic reduction with DIBAL:[6]

Formyl Aziridine Reactivity
Formyl Aziridine Reactivity

Iminium ion formation is prohibited in this molecule because the aziridine group and the formyl group are said to be orthogonal.

References

  1. Wittig, G.; Hesse, A. (1970). "Directed Aldol Condensations: β-Phenylcinnamaldehyde". Organic Syntheses. 50: 66. doi:10.15227/orgsyn.050.0066.
  2. March Jerry; (1985). Advanced Organic Chemistry reactions, mechanisms and structure (3rd ed.). New York: John Wiley & Sons, inc. ISBN 0-471-85472-7
  3. John D. Hepworth (1965). "Aminoacetone Semicarbazone Hydrochloride". Organic Syntheses. 45: 1. doi:10.15227/orgsyn.045.0001.
  4. Thummel, Randolph P. (2001). "2-Aminobenzaldehyde". Encyclopedia of Reagents for Organic Synthesis. doi:10.1002/047084289X.ra088. ISBN 0471936235.
  5. Hili, Ryan; Yudin, Andrei K. (2006). "Readily Available Unprotected Amino Aldehydes". Journal of the American Chemical Society. 128 (46): 14772–14773. doi:10.1021/ja065898s. PMID 17105264.
  6. The dimer reacts with sodium borohydride through the monomer it is in equilibrium with to the aziridine alcohol
This article is issued from Wikipedia. The text is licensed under Creative Commons - Attribution - Sharealike. Additional terms may apply for the media files.